电话:15618263001
地址:上海市普陀区礼尚路222弄高尚领域T3座
安全性研究

细菌鉴定检、遗传稳定性检测、毒力检、药物敏感检测、全基因组测序



结论:将那曲4580(瑞士乳杆菌L551、副干酪乳杆菌L578和嗜热链球菌S709,分别以20mL/Kg BW 的剂量给小鼠连续灌胃3天,观察7天,未观察到受试小鼠有毒性反应或者死亡。
科研支撑:保健食品功能评价目录的动物实验:有助于改善睡眠功能


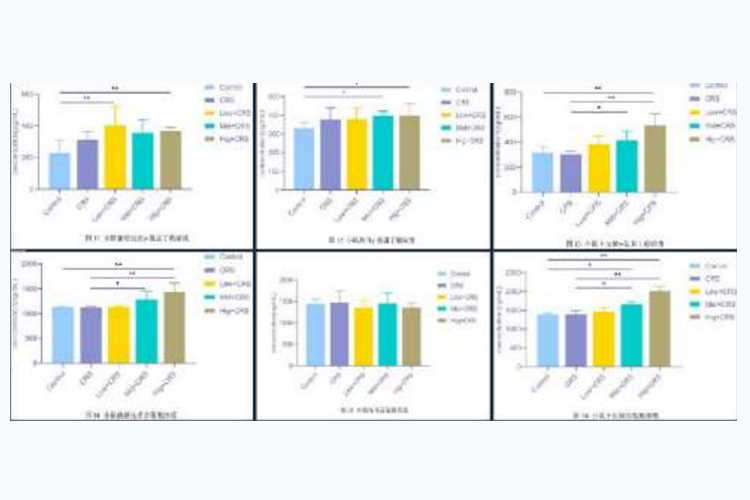
那曲4580可以调控脑部的神经递质,从而改善睡眠,服用那曲4580后,试验小鼠脑部的GABA、谷氨酸浓度均有提升,表明那曲4580可以调控脑部的神经递质,从而改善睡眠。

那曲4580同时具有缓解情绪焦虑的功效
皮质酮与动物的抑郁样行为有关,其浓度的高低可以用于衡量小鼠的应激水平;
试验小鼠服用那曲4580后能够降低血液中的皮质酮浓度,从而舒缓神经,缓解焦虑。
结论
经华西公共卫生学院动物实验结果可得:那曲4580可能是通过脑-肠-轴的神经递质传输,起到了抑制小鼠抑郁样行为,改善睡眠的作用。
动物实验:改善睡眠状况及焦虑情绪!

(河南人民医院)团队研究:
睡眠剥夺小鼠连续10天灌胃那曲4580/安慰剂后观察小鼠肠道菌群结构、睡眠潜伏期、睡眠时长、情绪及神经递质变化情况。
结果发现:
乳杆菌组小鼠菌降低了厚壁菌/拟杆菌的比值,疣微菌门丰度显著增加;
睡眠潜伏期延长、睡眠时长增加;
脑中5-HT 和 GABA 水平升高,多巴(DA) 和去甲肾上腺素 (NE)水平降低;
提示:那曲4580可通过调整肠道菌群结构调控代谢通路,恢复睡眠相关的神经递质水平,进而改善失眠小鼠的睡眠状况及焦虑情绪。
调节肠道菌群,改善睡眠状态和焦虑情绪


本研究以那曲4580(瑞士乳杆菌L551、副千酪乳杆菌 L578、嗜热链球菌 S709)对失眠小鼠进行了干预
显著改善了失眠小鼠的睡眠状态和焦虑情绪,且有利于恢复海马、下丘脑脑部损伤;
干预恢复了5-HT 和 GABA 的合成及代谢速率并且降低了 DA 和 NE 水平,从而调节了神经递质的平衡;
干预预导致了肠道微生物群的结构改善,改善了色氨酸代谢,提高了褪黑素前体 N-乙酰血清素的水平;
那曲4580通过调节肠道菌群的结构,改善了代谢产物及神经递质的水平。
三大临床验证:有效改善睡眠和情绪






